Ws Sensor Analysis Report - Day 66

Summary Statistics (All Ws Sensors)

Detail Section

VI and VO Daily Summary

figure_10.png
figure_11.png

Summary Statistics - Ws_W68

Ws Cleaning Summary Table - Ws_W68

ws_name total_dp nan_dp nan_filled_dp long_gap_dp num_spike
Ws_W68 17265 2146 11754 2146 4

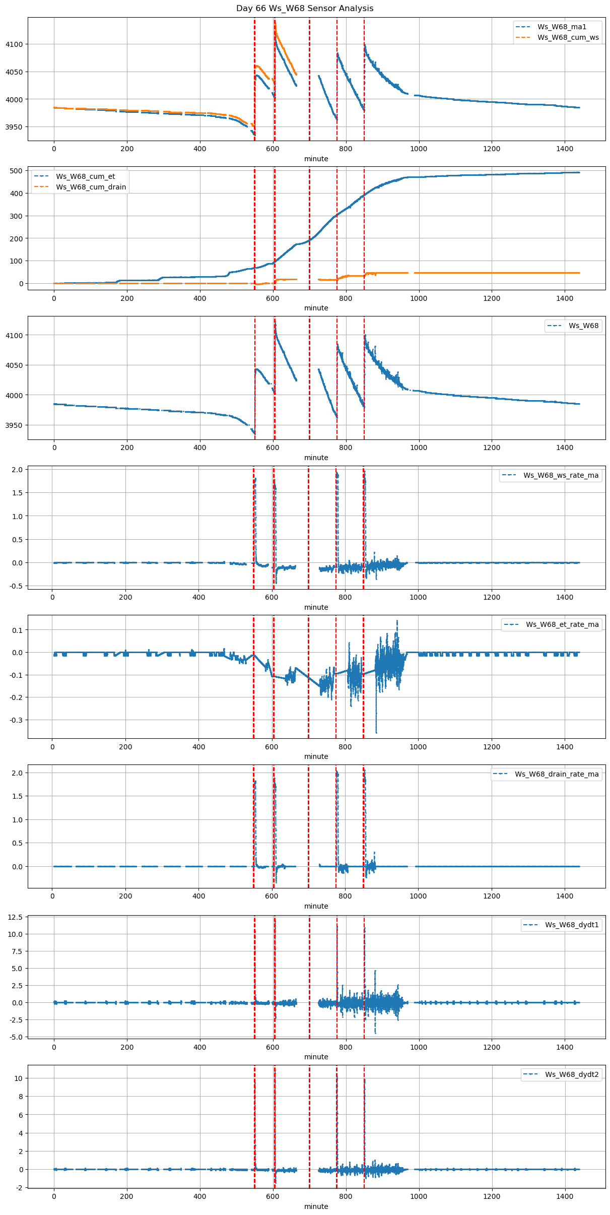
Fertigation Events Details Table - Ws_W68

ds d m ws_name prominence_cut max_drain_du fg_beg fg_beg_est fg_end fg_end_est drain_amount_by_fc drain_du_by_fc drain_rate_by_fc ws_beg ws_end duc pre_fg_et post_fg_ws post_drn_et fg_rate_by_dydt fg_rate_by_dWs fg_stay_amount fg_beg_delta fg_end_delta fg_total_amount fg_drain_amount postFg_drain_amount field_capacity_est total_drain_amount
2025-12-11 09:10:00+08:00 66 550 Ws_W68 0.455965 30 550.0 550.250000 550.78 551.916667 NaN NaN NaN 3937.0 4043.0 47 -0.074407 -0.013611 -0.066138 0.321111 0.451064 21.2 15.0 68.2 23.5 2.3 0.235508 NaN 2.535508
2025-12-11 10:05:00+08:00 66 605 Ws_W68 0.455965 30 605.0 605.250000 605.78 606.750000 NaN NaN NaN 4005.0 4115.0 47 -0.107284 -0.170278 -0.116725 0.383111 0.468085 22.0 15.0 58.2 23.5 1.5 3.263856 NaN 4.763856
2025-12-11 11:40:00+08:00 66 700 Ws_W68 0.455965 30 700.0 NaN 700.78 NaN NaN NaN NaN NaN NaN 47 NaN NaN -0.151204 NaN NaN NaN NaN NaN 23.5 NaN NaN NaN NaN
2025-12-11 12:55:00+08:00 66 775 Ws_W68 0.455965 30 775.0 775.333333 775.78 777.083333 NaN NaN NaN 3967.0 4084.0 47 -0.095145 -0.149444 -0.079931 0.354444 0.497872 23.4 20.0 78.2 23.5 0.1 3.580312 NaN 3.680312
2025-12-11 14:10:00+08:00 66 850 Ws_W68 0.455965 30 850.0 850.250000 850.78 852.000000 NaN NaN NaN 3982.0 4100.0 47 -0.095339 -0.148750 -0.078681 0.346222 0.502128 23.6 15.0 73.2 23.6 0.0 1.765706 NaN 1.765706

Figures - Ws_W68

Figure figure_9.png
Figure figure_8.png
Figure figure_7.png
Figure figure_6.png
Figure figure_5.png
Figure figure_4.png