Ws Sensor Analysis Report - Day 78

Summary Statistics (All Ws Sensors)

Detail Section

VI and VO Daily Summary

figure_10.png
figure_11.png

Summary Statistics - Ws_W68

Ws Cleaning Summary Table - Ws_W68

ws_name total_dp nan_dp nan_filled_dp long_gap_dp num_spike
Ws_W68 17269 0 14237 0 0

Fertigation Events Details Table - Ws_W68

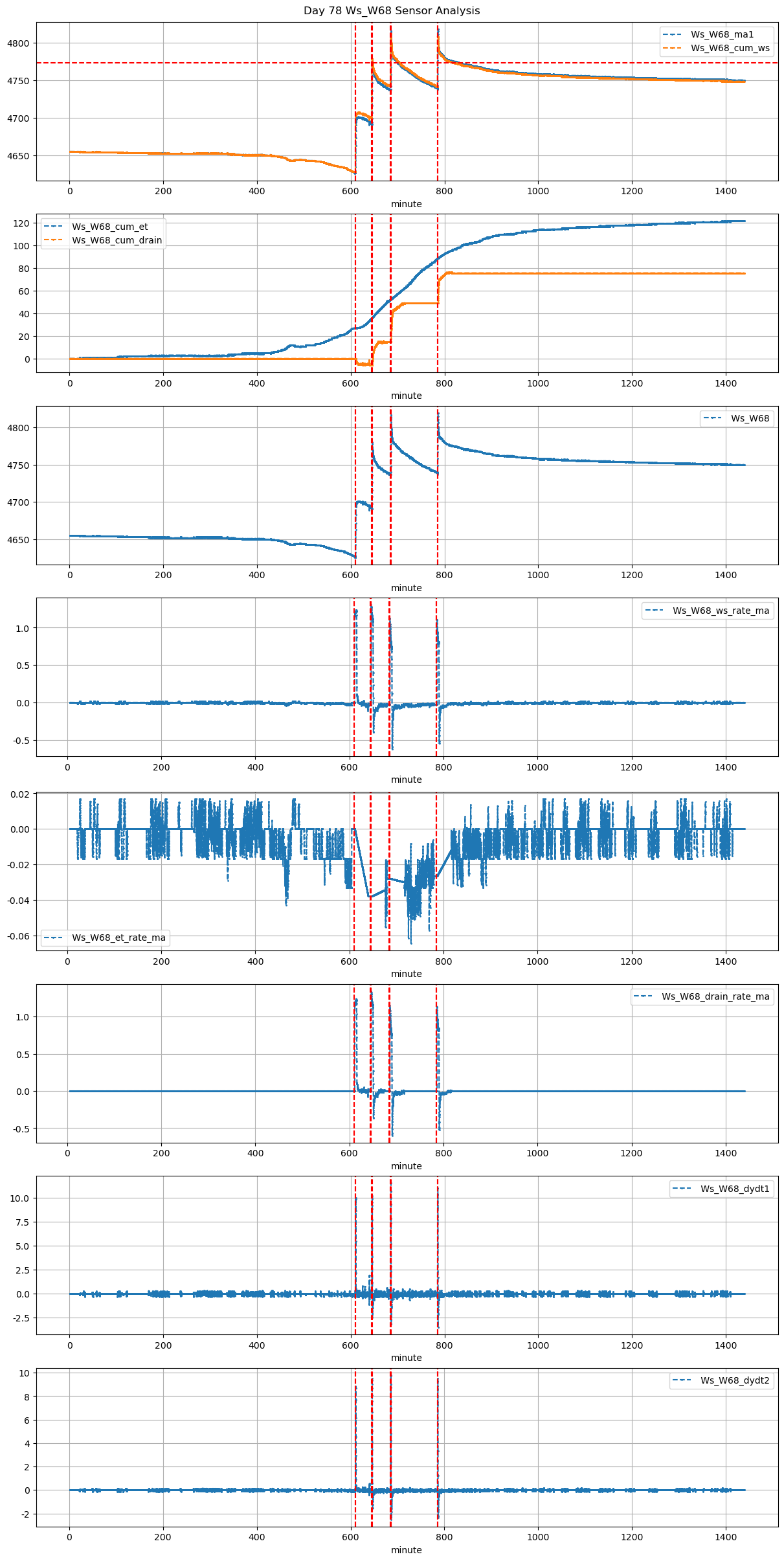
ds d m ws_name prominence_cut max_drain_du fg_beg fg_beg_est fg_end fg_end_est drain_amount_by_fc drain_du_by_fc drain_rate_by_fc ws_beg ws_end duc pre_fg_et post_fg_ws post_drn_et fg_rate_by_dydt fg_rate_by_dWs fg_stay_amount fg_beg_delta fg_end_delta fg_total_amount fg_drain_amount postFg_drain_amount field_capacity_est total_drain_amount
2025-12-23 10:10:00+08:00 78 610 Ws_W68 0.42 30 610.0 610.333333 610.57 611.500000 NaN NaN NaN 4627.00 4701.0 34 -0.030508 0.000000 0.000000 0.311000 0.435294 14.80 20.0 55.8 17.0 2.20 -1.185155 NaN 1.014845
2025-12-23 10:45:00+08:00 78 645 Ws_W68 0.42 30 645.0 645.333333 645.57 646.583333 NaN NaN NaN 4692.75 4772.0 34 -0.038065 -0.128889 -0.034306 0.348333 0.466176 15.85 20.0 60.8 17.0 1.15 4.103604 4751.481980 5.253604
2025-12-23 11:25:00+08:00 78 685 Ws_W68 0.42 30 685.0 685.333333 685.57 686.416667 NaN NaN NaN 4737.00 4807.0 34 -0.027943 -0.134583 -0.030000 0.354000 0.411765 14.00 20.0 50.8 17.0 3.00 6.828017 4772.859917 9.828017
2025-12-23 13:05:00+08:00 78 785 Ws_W68 0.42 30 785.0 785.333333 785.57 786.500000 NaN NaN NaN 4740.00 4807.0 34 -0.026607 -0.103333 -0.011944 0.345333 0.394118 13.40 20.0 55.8 17.0 3.60 5.433163 4779.834183 9.033163

Figures - Ws_W68

Figure figure_9.png
Figure figure_8.png
Figure figure_7.png
Figure figure_6.png
Figure figure_5.png
Figure figure_4.png